2000-08-16[n年前へ]
2001-08-16[n年前へ]
2003-08-16[n年前へ]
■昨日の景色 
昨日、送って頂いた「新潟で眺めた夕日」も浜松や沼津で眺めた夕焼けの景色と似たような景色でした。新潟の空も静岡の空と案外同じなのかもしれません。
「今日見た景色」はp@hirax.netでお待ちしています。
2004-08-16[n年前へ]
■「理系」と「才能」と「役に立つ」ということ 
今日頂いたメール。
「数学は役に立つか?」「理系と文系どっちが得か?」という質問自体があまり理系の人々の中では出てこない発想かも、と思います。自分にとって「面白い」か「否」か、「好き」か「どうでもいい」か、という軸で行動している理系な人々なら、よく見かけるかもしれません。そして、メールの書き手はさらに「不材を以ってその天年を終うるを得る」という荘子の話が「好き」だと書く。
建築の材料には使えない曲がりくねっている木そんな役立たずの木は、切られることがなく天寿を全うする。立派でまっすぐで、いかにも役に立つ木は、生長したところでばっさり切られてしまう。なまじ才能をひけらかしていると、天寿を全うできない。
■横浜市港南区「春日神社」 
今日は4km。上大岡駅前のウィング上大岡から横浜市港南区「春日神社」まで。これから、横須賀方面に行ってみようか、それとも鎌倉に向かおうか。
■「どっちが得か?はわかりません」 
今日書いたメール。
> ちなみに私は、理系と文系でどっちが得か?はわかりませんが、> 理系に行って良かったと思っています。 どっちが得かを考えるような人は、「理系」になんか来ないですよね、きっと。だから、私は中村修二の台詞が…どうも苦手です。うぅ。
■「インターネットで調べるときの心得」 
夏休みと言えば、夏休みの宿題。そろそろ夏休みも終わりに近づいているから、お子ちゃま達が宿題をようやく始めている頃かもしれない。インターネットを使って宿題の下調べをする時には読んでおくといいかも、のLINK https://www.mediakids.or.jp/whats_internet/index.html「インターネットで調べるときの心得」あっ、だけど考えてみれば「お子ちゃま」がhirax.netなんかに来たりはしないか。
この学研のサイトには「親子でつくろうブログ日記」とか、「計算ノート」みたいな色んな教材があったりして大人でも面白いと思う。
■Nikon D70 v.s. CANON EOS 20D 
Nikon D70とCANON EOS 20Dとレンズのセットに悩む。手振れ防止のEF-S 18-85mm/F3.5-5.6IS USM は魅力的かも。35mm換算で28-135mmか、うぅ。
■Mandelbrot集合描画支援ハードウェア 
マンデルブロ集合を描画するためだけの「Mandelbrot集合描画支援ハードウェア」 その潔さが素晴らしい。そして、その美しい配線はこんな言葉とともに眺めると良いかもしれない。
マンデルブロしか能がない専用のハードウェアを作ってしまいました。…と言うのは簡単なのですが、完成まで実に丸2年かかりました。私はパンの耳で食いつなぐような貧乏学生だったので、人件費は労力でカバーが基本方針でした。ゆっくりと時間をかけて、とにかく楽しく設計した事を覚えています。その後、約半年かけて手配線しました。オシロなどの測定器は持っていませんでしたし、回路の複雑さ(パイプライン化された64ビットデータループが5つ並列に動いています)を考えても、何らかのミスを後で見つけ出すことはほとんど不可能でした。 幸いにも時間はありましたので、ミスの無いように、慎重に、慎重に設計・製作しました。長かった配線作業が終わり、テストプログラムを書いて、マンデルブロの「雪だるま」が表示されたとき……うれしかったですね。
■超小型ヘッドホンMP3プレーヤー 
市販して欲しいくらいのデキの「超小型ヘッドホンMP3プレーヤー」 メディアはminiSDカード、コード巻き取り機能を持つヘッドフォンが超小型ヘッドホンMP3プレーヤーに生まれ変わる。
2005-08-16[n年前へ]
■"PIPES OF PEACE" 
1914年のイギリスとドイツはクリスマスに一時休戦に入る。イギリス人将校とドイツ人将校はお互いの家族の写真を交換して見せ合う。他の兵士達はサッカーに興じている。 そんな中唐突に砲撃が休戦の終りを告げる。急いで自分の陣地に逃げ込む兵士達。我に返ったイギリス将校が手元の写真を見ると、それは返し忘れたドイツ将校の家族の写真だった。
■「遺伝的アルゴリズム」にもとづく「男と女の出会いの場」 
その海岸近くの「男と女」の出会いの場は、自然発生的にこんな風なシステムで動いていたと聞きました。
まずは、男性二人が車に同乗してその海岸の駐車場に来ます。同じように、女性二人も車に同乗してその駐車場に来るわけです。4人ともが気に入る組み合わせができれば、二台の車に乗った「男男 + 女女」という組み合わせが、「男女 + 男女」という組み合わせに変わって次のステージに進むといいます。もちろん、その次のステージはその二人次第なわけです。
…まるで、これは遺伝子が組み合わさって子孫が作られていくような「男と女の出会いの場」です。まさに、「遺伝的アルゴリズム」にもとづいた「男と女の出会いの場」なのかもしれません。強制シャッフルとかないのかしら。
■「六郷花火大会」写真集 
ꆡ꓆ꓢ컯ꇖ20050815 六郷花火大会」写真集
■「するべきことは、外へ行くこと」 
本来やりたい「技術的」なことでなく、そんな「政治的」なことに無駄な時間を費やすよりも、すでに優秀な人が集まっている社外の「楽園」に移って、技術者としての腕を存分に振るった方が良いに決まっている。

もしかしたら、このタイトルだけから「結果が全てだから、埋もれている人は優秀な人ではない」と考え読まない人もいるかもしれない。あるいは、「現状分析だけで、将来に対する展望はないの?」と思う人もいるかもしれない。そんな人(がもしいたとしたら)のために、最後に
とにかく、言いたいのはと書かれた部分から、勝手に「内容に率直なタイトル」をつけてしまえば、「するべきことは、外へ行くこと」というところだろうか。
2006-08-16[n年前へ]
■なかなかグッド!な「手振れ補正アルゴリズム」の仕組み 
Tech総研ブログ 平林 純@「hirax.net」の科学と技術と男と女になかなかグッド!な「手振れ補正アルゴリズム」の仕組みを書きました。自分の興味に動かされるままに、他人のプレゼンテーション・ファイルに貼り付けられている画像を勝手に解析したりしながら書き始めたのですが、「なんとも一般受け」しそうにない内容になってしまいました。そんな「気配りを忘れてしまう」瞬間もあります…よね? (いつもそうなんですが…)
「どのように手振れしたか」がわからないシステムの場合、「自然な画像とはどのようなものか」という理解が重要になります(多分)。例えば、二次元キャラが写っている画像、あるいは、三次元の現実人間キャラが写っている画像…どんな画像かによって「自然で、あるべき姿」は異なります。自分が好きな画像に対し、「自然で、あるべき姿」はどのようであるかを調べてみるのも面白いかもしれません。
■経済学講座「西村和雄 京大経済研究所教授」 
Tech総研「経済学インタビュー記事」の次回9月分は(すでにインタビューを終えて記事も送付済みの)友野典男 明治大学教授です。 その次の先生を西村和雄 京都大学経済研究所教授にお願いしました。『分数ができない大学生』などの著作でも有名な方ですが、経済非線形動学理論・複雑系経済学が専門で、日本経済学会会長でもあったという方ですから、ぜひ「標準経済学・ミクロ経済学大陸」のことを聞いてみよう、と思っています。もし、何か「こういうことを聞いてみたい」なんて思うことがある方がいらっしゃいましたら、メールででも教えて頂けたら幸いです。
■「好きなことをする」 
from n年前へ.
自分にとって「面白い」か「否」か、「好き」か「どうでもいい」か、という軸で行動している理系な人々なら、よく見かけるかもしれません。
建築の材料には使えない曲がりくねっている木そんな役立たずの木は、切られることがなく天寿を全うする。なまじ才能をひけらかしていると、天寿を全うできない。
本来やりたい「技術的」なことでなく、そんな「政治的」なことに無駄な時間を費やすよりも…
マンデルブロしか能がない専用のハードウェアを作ってしまいました。…と言うのは簡単なのですが、完成まで実に丸2年かかりました。
■(本文・サムネイルつき)ショートカット作成ソフト修正版 
先日作った「眺めたWEBページ内容をすべて(本文つき)インターネットショートカットとして保存するアプリケーション」のバグをいくつか直し、インターフェースをちょっと変えて、ここに置き直しておきました。また、前回のLZHファイルは、使っていたLHA圧縮ソフトが「空ディレクトリ」を圧縮時に無視していて、必要なディレクトリがいくつか入っていませんでしたので、その点も直しておきました。
2008-08-16[n年前へ]
■五山送り火 
京都の街は小さな盆栽に似ている。自転車で1時間も走れば、端から端まで移動できる。京都は結局、そんな小さな街だ。
8月16日の夜8時から、その小さな街の三方では、かがり火が焚かれる。そして、文字や形を浮かび上がらせる。それが、五山送り火だ。昔はもっと色々なところでかがり火が焚かれていたというが、今では「五山」送り火になっている。あくまで、五山送り火なので、焚かれる文字・形数が5つというわけではない。文字数で言うと、「大文字・左大文字・妙・法・舟形・鳥居形」の6つである。しかも、「妙」「法」は、左京区松ヶ崎の妙法山で焚かれるのだけれど、「妙法山」は、実際のところ、西山と東山という別の山に分かれている。だから、「6山(6箇所)送り火」というのが、実際の感じに一番近いと思う。
「実際の感じに一番近い」といっても、五山送り火すべてを眺めることができる場所があるのかどうかは、よくわからない。五山の場所・方向からすると、普通の場所からは全部を見ることはできそうにないように思えてしまう。それに、通り沿いにそびえるビルは視界を遮るし、見通しがいい場所には、たくさん人がいる。だから、「6山(6箇所)送り火」であっても、多くの場合、「3つくらいの文字・形」が見えれば「いい場所」であるように思う。
今年は、「大文字・左大文字・妙・法」の3(4)文字を見た。銀閣寺の上で燃え盛る「大文字」と金閣寺の上に燃える「左大文字」そして、京都の北に浮かび上がる「妙法」だ。少しの時間をおきながら、懐古的なネオンサインのようなオレンジ色の光を放つ文字を見ていると、蒸し暑い夏も、不思議に気持ち良く感じられてくる。そんな夜景を30分ほど眺める。
2009-08-16[n年前へ]
■夏の海辺で本を読む 
「ニッポン放浪宿ガイド200―人生を変える旅、運命を変える宿
」を手にとり、少しページをめくり、これは心から楽しめそうな本だと感じました。そして、そんな本であるからには、風に吹かれながら、心地よい場所で、気楽に読むのがふさわしいと、ふとなぜか思ったのです。
そこで、海パンをはき、Tシャツを着て、自転車に乗って海辺に走りました。人が全然いなさそうな、けれど、水と景色が綺麗なところへと向かったのです。寝ころびながら本を読めるスペースがある、小さな岬の先にある、そんな海沿いの岩場に向かいました。
そんな場所で、夏の日差しの下で、「ニッポン放浪宿ガイド200―人生を変える旅、運命を変える宿
」を読んでいると、とてつもなく気持が良くなります。風は心地良く吹いているし、夏の終わりの日差しはとても言葉では表現できないような感覚を与えてくれて、そして、本を読むのに飽きて海の中に入ったなら、海中には色鮮やかな魚たちがたくさん泳いでいるのです。
人がいない秘境というのは、意外に近くにあったりします。秘境ですから、数多いあるわけではありませんが、こんな人それぞれの秘境に行って「放浪書」を読むというのは、何だかとても豊かな時間を感じさせてくれます。
これが私の秘境の例ですが、あなただけが知っている「あなたの近くの秘境」はどんな場所でしょうか?
2010-08-16[n年前へ]
■暑い夏の汗かきあとには「ソルティドック風ハイボール(アメリカンで氷たくさん)」が美味しい。 
残暑激しく、まだまだ真夏日が続いています。そんな暑い夏に汗をたくさんかいたあとには、「ソルティドック風ハイボールをアメリカンで作る」のがお勧めです。つまりは、濡らしたグラスのふちに塩をたくさん浸けた上で、たくさん氷を入れ、薄めのハイボールを作ってゴクゴクと飲むのです。ハイボールは、氷に好みのウィスキーを少量入れた後に、
サントリー C.C.レモン ゼロ
で思い切り注ぎいれるのが、(炭酸飲料分に関しては)カロリーゼロなのにビタミンCたっぷりで体に心地良い感じで良いように思います。アルコールが要らなければ、100% サントリー C.C.レモン ゼロの「ソルティドック風サントリー C.C.レモン ゼロ(氷たくさん)」にしてもOKです。熱中症対策には、こちらのアルコールなしのパターンの方が良いかもしれません。
「ソルティドック風ハイボール(アメリカンで氷たくさん)」「ソルティドック風サントリー C.C.レモン ゼロ(氷たくさん)」の味がどんな感じかというと、冷えた甘いスイカのような、甘くビターなグレープフルーツのような、あるいは、ポカリスエットのような・・・とにかく、暑い夏の日差しの下で汗をたくさんかいた後に飲むと、体の中に染み入り、とても美味しく・気持ち良くなります。欲しがる水分と塩分(とビタミンC)が、美味しさと一緒に体に溶けていくのが本当に気持ち良いです。
カクテルのソルティドッグの由来は、「船の甲板の上で汗だらけ塩だらけになって働くひとたち(甲板員)」です。暑い夏の汗かきあとには、一度、「ソルティドック風ハイボール(アメリカンで氷たくさん)」で作って飲んでみる、のがお勧めです。(右上の写真は、真夏の陽射しの下でハンダゴテを握り工作作業をして、自転車試走をした後に作って飲んだ「ソルティドック風ハイボール(アメリカンで氷たくさん)」です)
2012-08-16[n年前へ]
■「ビールの法則」で「白ビールの酵母・小麦タンパクの量」を見極めろ!? 
地ビールの中でも、酵母や小麦蛋白が濾過されずにたくさん残っているビールは、それらの成分が(ビールを照らす)光を散乱させるため、白く淡い色に見えます。
だから、ヘーフェヴァイツェンビール(小麦酵母ビール)などは白っぽく色が淡く見えます。ビール内部で光散乱が生じると「白く見える」のは、照明光(白色光)がビール内部に入った後、ビール内部で光散乱が生じることにより、、ビール内の色素による光吸収が十分行われる前に(すなわちビールの色に色づく前に)、光がビール外部に出てしまうからです。
そういった光は白色のほぼ照明光そのままですから、ビールが白っぽく見えてしまいます。
そんなヴァイツェンビールを見ながら、「ビールの色を見ただけで、酵母や小麦蛋白の量を判断できるか?」という話になりました。そこで、簡単な計算から「(単位体積あたりの)酵母や小麦蛋白の量」を求めるための方法を調べてみることにします。
まず、簡単な思考実験から、ビール自体に色が着いていなければ、ビールの色からだけでは「(単位体積あたりの)酵母や小麦蛋白の量」は決められないだろう、ということがわかります。
なぜなら、ビールが完全に透明だったとしたら(全波長で光吸収がゼロだっとしたら)、ビール内部に酵母や小麦蛋白がたくさんあって、そこで光散乱がどれだけ生じようとビールから出てくる光は照明校と同じ白色光になってしまいます。ビールグラスの中(やグラスの向こうの景色)は不透明になりますが、「色」自体は完全に照明光と同じになってしまいます。
また、ビールの色(たとえばビール内を光が単位長さだけ通過する際に行われる光吸収の量)がわかっていなければ、「ビールの色からだけでは光散乱の量(=酵母や小麦蛋白の量)」はわからないだろう、ということもわかります。 なぜなら、たとえば、濃黄色のビールに酵母と小麦蛋白がたくさん入っていて、光散乱が多く生じることにより「薄黄色のビール」になったとしても、その薄黄色が「元から薄黄色のビールで、光散乱が全然ない(酵母も小麦蛋白も全然入っていない)」のか「濃黄色のビールが光散乱により薄黄色に見えている」のかを区別することができないからです。
ということは、「ビール自体の色がわかっている」という条件下でのみ、「ビールの見た目の色(白っぽさ)から、光散乱の量(=酵母や小麦蛋白の量)を求めることができる」という目処を付けた上で、その上で簡単な解析計算をしてみることにします。
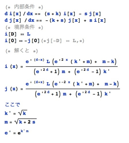
まず、ビールグラス近傍にX座標をとり、グラス中央を原点とします。また、グラスの高さ方向・グラス回転方向はは無視します。 この時、x軸の正の向きに向かう光量をj(x)、X軸の負の向きに向かう光量をi(x)として、ビールグラスの界面での反射を無視すると、次のような連立微分方程式を書くことができます。 この連立微分方程式の内容はとても単純で「媒質中を移動する光は、進むに連れて光吸収されたり・散乱し進行方向を変えたりする」ということを書いたものです。

連立微分方程式中で使われている変数、sは単位長あたりの(波長毎の)光散乱率で、kは単位長あたりの(波長毎の)光吸収率です。また、Dはビールグラスの半径で、Lは外部環境光です。
この連立微分方程式は(連立微分方程式とはいっても)i(x)とj(x)は原点対称の「実は同じもの」ですから、結局のところ、普通の微分方程式です。そうした媒質内部の現象を書いた微分方程式に、ビールグラス境界で「外部からの環境光 L が入ってくる」という境界条件を付けて(あるいは、対称性から原点でi(x)とj(x)が等しいといった境界条件を付けて)、微分方程式を解いてやると、上に書いたようなi(x)とj(x)を表す式が導かれます。
j(x)はビールグラスの右側に向かう(波長毎の)光量を示し、i(x)はビールグラスの左側に向かう(波長毎の)光量ですから、ビールグラスを外側から見た時の(光の波長毎の)光量はi(グラス半径)=j(-グラス半径)です。 すると、上で求められた解は、「ビールグラスを外側から見た時の(任意波長の)光量=(波長毎の)ビール自体の光吸収率k と (波長毎の)ビール自体の光散乱率 sの関数」という形になっていますから、(波長毎の)ビール自体の光吸収率kがわかっているならば、ビールの「色(任意波長の光量)」を観察すれば、「(光を散乱させている)酵母や小麦蛋白の量」がわかる、ということになるわけです。
たとえば、右のグラフは(向かって)ビール・グラス右向きに向かう光量=j(x)を、微分方程式を解いた結果から示した一例です(横軸は位置, 縦軸は光量)。向かって左側はグラス外側から環境光が入射するため(右側に向かう)光量が多く、グラス右側では(主にグラス右側から入射した光が)散乱により方向を変えて・右側に進む光が一定量あることなどがわかります。
しかし、私たちがビール・グラスを眺める時、「色」を感じることはできても、「任意波長の光量」といったものはあまり意識しないものです。そこで、次は、こうした媒質中の光吸収を計算する基本式「ランベルト・ベールの法則(Beer-Lambert law)」を使って、ビールの(見た目の)色と酵母や小麦蛋白の量)を具体的・体感的に眺めてみることにしようと思います。
…何しろ、ランベルト・ベールの”ベール”はBeerですから、短く言ってしまえば「ビールの法則」です。「ビールの法則」なのですから、「白ビールの酵母・小麦タンパクの量」の見極めのために使わないと、何だかもったいないですよね?
2015-08-16[n年前へ]
■「天津の爆発事故」と「デルフトを描く3枚の絵」 
中国 天津市で爆発事故が起きた。その映像を観て、オランダのデルフトを描く、あるいはデルフトで描かれた3枚の絵画の話を連想した。
オランダのハーグにあるマウリッツハイス美術館というと、フェルメールが描いた「真珠の耳飾りの少女」が有名だ。その少女が飾られているフェルメールルームの反対側の壁には、フェルメールの「デルフトの眺望」が飾られている。薄暗い曇で陰った近景の先に、印象的な青空とその下で輝く街が広がる、印象的な一枚だ。
この絵が描かれたのは1660年頃だが、その数年前の1654年10月12日、大規模な火薬爆発がデルフトの街で起きて、街のかなりの部分が失われた。爆発事故が起きたデルフトを描いた、エグバート・ファン・デル・プールの絵を眺めると、その悲惨さが感じられる。

「デルフトの眺望」が描かれたのは、デルフトの街が爆発事故から復興する途中だ。そんなことも相まり、街を上から照らす青空と、眩しい光を反射する建物の壁が、とても美しく思えてしまう。
フェルメールの絵が飾られている隣の部屋、Steen Roomには、外から光が差し込む2枚の窓の間で「小鳥」が一羽たたずんでいる。この小品を描いたカレル・ファブリティウスはデルフトの爆発事故で若くして亡くなった画家だ。
窓辺にとまる小鳥を少し眺めた後で、もう一度「デルフトの眺望」を眺め直すと、遠景で輝く街の壁に、柔らかい光に照らされた「小鳥」がとまっているような気がしてきてしまう。